近日,地球物理系李光泉、地质系王玉朝、地球物理系李祥合作的论文“Minor squirt in unconsolidated sands versus strong squirt in compressed glass beads”,在国际地学期刊Geofluids上发表。
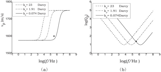
通过对Biot理论进行改进,他们率先成功预测出饱含流体非固结砂粒中超声P波的相速度和品质因子。反演得到的高频动态渗透率远小于达西渗透率,这是由流体力学中的Stokes边界层造成。通过对比研究,他们阐述了固结岩石中小尺度喷流极大增高速度、强烈衰减P波的具体机理。该成果解决了长期困扰岩石物理学界的单孔隙模型适用性问题,为P波探测地下流体提供了理论指导和实验依据。论文链接https://doi.org/10.1155/2020/8486154。

(a) 日本关东Toyoura砂粒中P波的理论相速度(VP)与超声实测速度比较;(b)P波理论品质因子(QP)与超声实测品质因子比较。其中达西渗透率为23Darcy,f为频率, kP为动态渗透率。